200-201 Practice Questions
Understanding Cisco Cybersecurity Operations Fundamentals (CBROPS)
Last Update 1 day ago
Total Questions : 476
Dive into our fully updated and stable 200-201 practice test platform, featuring all the latest CyberOps Associate exam questions added this week. Our preparation tool is more than just a Cisco study aid; it's a strategic advantage.
Our free CyberOps Associate practice questions crafted to reflect the domains and difficulty of the actual exam. The detailed rationales explain the 'why' behind each answer, reinforcing key concepts about 200-201. Use this test to pinpoint which areas you need to focus your study on.
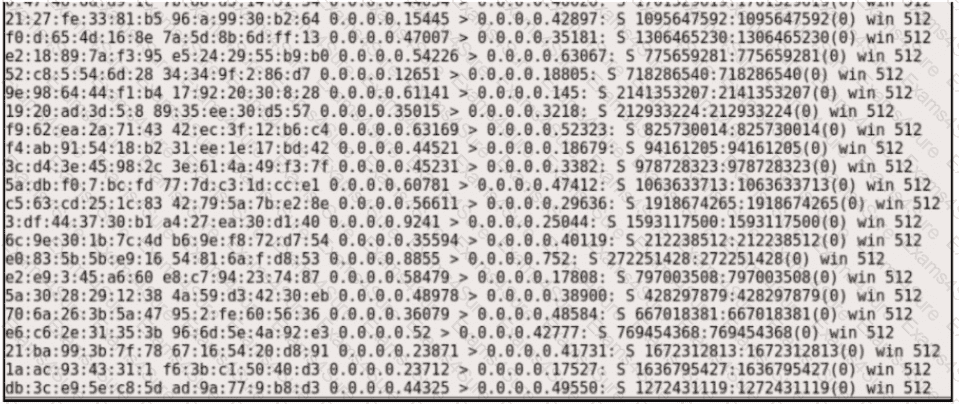
Refer to exhibit.

An analyst performs the analysis of the pcap file to detect the suspicious activity. What challenges did the analyst face in terms of data visibility?
Exhibit.

An engineer received a ticket about a slowdown of a web application, Drug analysis of traffic, the engineer suspects a possible attack on a web server. How should the engineer interpret the Wiresharat traffic capture?
Drag and drop the security concept on the left onto the example of that concept on the right.

Which principle reduces the risk of attackers gaining access to sensitive data by compromising a low-level user account?
Which two elements are used by the defense-in-depth strategy? (Choose two)
Refer to the exhibit.

An attacker scanned the server using Nmap.
What did the attacker obtain from this scan?
An engineer configured regular expression “.”\.(pd][Oo][Cc)|[Xx][LI][Ss]|[Pp][Pp][Tt]) HTTP/1 .[01]" on Cisco ASA firewall. What does this regular expression do?




